All times are UTC + 8 hours




Post new topic Reply to topic  [ 52 posts ]  Go to page Previous  1, 2, 3, 4
Author Message
PostPosted: Apr 12th, '11, 11:08 
Almost divorced
Almost divorced
User avatar

Joined: Oct 18th, '09, 18:58
Posts: 1043
Gender: Male
Are you human?: yes
Location: Australia victoria
Great effort! I think you may have just confirmed Jades for me next summer!


Top
 Profile  
Reply with quote  
    Advertisement
 
PostPosted: Apr 18th, '11, 17:00 
Moderator
Moderator
User avatar

Joined: Mar 24th, '10, 13:00
Posts: 5086
Gender: Male
Are you human?: Daughters think not
Location: Horsham, Victoria, Australia
The last two nights here have got down to 3.5C but no clue what the tank got down to as we were away, but the two small jades I put in the big tank are still alive, and the pumps were running 24/7 while we were away.


Top
 Profile  
Reply with quote  
PostPosted: Apr 25th, '11, 15:41 
Xtreme Contributor
Xtreme Contributor
User avatar

Joined: Mar 13th, '06, 17:40
Posts: 148
Location: Bundaberg
Gender: Male
Are you human?: YES
Location: Queensland, AUSTRALIA
Good plate size Mantis!


Top
 Profile  
Reply with quote  
PostPosted: Apr 25th, '11, 16:08 
Moderator
Moderator
User avatar

Joined: Jul 18th, '10, 13:09
Posts: 2385
Gender: Male
Are you human?: mostly
Location: Western Australia
mantis wrote:

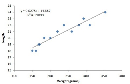
Harvested 13 and put two very small ones in the big community tank. Dunno if they will survive in there but.
The weights and lengths:
353 24
310 22
293 23
280 22
260 21
238 22
220 21
200 20
183 20
170 19
168 19
160 18
150 18


nice data set, i got this out of it, i hope you dont mind
essentially you can predict the weight of a JP from the length (or visa versa) to a great degree of accuraccy usign the formula in the graph. the R2 value, for the non-mathematicians out there, means that there is a 90% probability that the equation will render a correct wiehgt from length / visa versa (feel free to correct me on this)


Attachments:
JadePerchLengthWeight.jpg
JadePerchLengthWeight.jpg [ 16.83 KiB | Viewed 25212 times ]
Top
 Profile  
Reply with quote  
PostPosted: Apr 26th, '11, 07:21 
Xtreme Contributor
Xtreme Contributor
User avatar

Joined: Mar 13th, '06, 17:40
Posts: 148
Location: Bundaberg
Gender: Male
Are you human?: YES
Location: Queensland, AUSTRALIA
I'm not smart enough to understand this. It seems to me that there isn't a constant factor with the weight to length due to the width of the fish??


Top
 Profile  
Reply with quote  
PostPosted: Apr 26th, '11, 08:09 
Moderator
Moderator
User avatar

Joined: Jul 18th, '10, 13:09
Posts: 2385
Gender: Male
Are you human?: mostly
Location: Western Australia
No there is a constant factor, the r2 value indicates that there is a very strong relationship between length and weight if fish (r2 of 1 means a perfect relationship) width doesn't come into it


Top
 Profile  
Reply with quote  
PostPosted: Apr 26th, '11, 08:12 
Moderator
Moderator
User avatar

Joined: Mar 24th, '10, 13:00
Posts: 5086
Gender: Male
Are you human?: Daughters think not
Location: Horsham, Victoria, Australia
Nicely done Freoboy,, thanks


Top
 Profile  
Reply with quote  
Display posts from previous:  Sort by  
Post new topic Reply to topic  [ 52 posts ]  Go to page Previous  1, 2, 3, 4

All times are UTC + 8 hours


You cannot post new topics in this forum
You cannot reply to topics in this forum
You cannot edit your posts in this forum
You cannot delete your posts in this forum
You cannot post attachments in this forum

Search for:
Jump to:  
cron

Powered by phpBB® Forum Software © phpBB Group
Portal by phpBB3 Portal © phpBB Türkiye
[ Time : 0.023s | 15 Queries | GZIP : Off ]